[menuju akhir]
1. Pendahuluan [kembali]
Astable multivibrator adalah sebuah rangkaian elektronik yang menghasilkan gelombang persegi tanpa memerlukan sinyal input eksternal, sering digunakan sebagai osilator atau timer. Saat duty cycle (D) lebih dari 50%, berarti waktu yang keluaran berada di level tinggi lebih lama dibandingkan dengan waktu yang keluaran berada di level rendah.
Pada astable multivibrator menggunakan IC 741, duty cycle diatur oleh nilai resistor dan kapasitor. Untuk mendapatkan duty cycle lebih dari 50%, kita perlu mengatur rasio antara resistor yang menentukan waktu pengisian dan pengosongan kapasitor.
2. Tujuan [kembali]
- Dapat memahami apa itu Astable Multivibrator
- Dapat memahami dan mensimulasikan rangkaian Astable Multivibrator
3. Alat dan Bahan [kembali]
Alat :
a. Osciloscope
Osiloskop adalah alat ukur elektronika yang berfungsi memproyeksikan bentuk sinyal listrik agar dapat dilihat dan dipelajari. Osiloskop dilengkapi dengan tabung sinar katode. Peranti pemancar elektron memproyeksikan sorotan elektron ke layar tabung sinar katode. Sorotan elektron membekas pada layar. Suatu rangkaian khusus dalam osiloskop menyebabkan sorotan bergerak berulang-ulang dari kiri ke kanan.
Bahan :
a. Resistor
Resistor atau hambatan adalah salah satu komponen elektronika yang memiliki nilai hambatan tertentu, dimana hambatan ini akan menghambat arus listrik yang mengalir melaluinya.
b. Kapasitor
Kondensator atau sering disebut sebagai kapasitor adalah suatu alat yang dapat menyimpan energi di dalam medan listrik, dengan cara mengumpulkan ketidakseimbangan internal dari muatan listrik.
c. Op-Amp (Operational Ampifire)
Operasional amplifier (Op-Amp) adalah suatu penguat berpenguatan tinggi yang terintegrasi dalam sebuah chip IC yang memiliki dua input inverting dan non-inverting dengan sebuah terminal output, dimana rangkaian umpan balik dapat ditambahkan untuk mengendalikan karakteristik tanggapan keseluruhan pada operasional amplifier (Op-Amp).
d. Dioda
Dioda (diode) adalah komponen elektronika aktif yang terbuat dari bahan semikonduktor dan mempunyai fungsi untuk menghantarkan arus listrik ke satu arah tetapi menghambat arus listrik dari arah sebaliknya.
e. Baterai
Berfungsi sebagai sumber tegangan.
4. Dasar Teori [kembali]
Rangkaian Astable Multivibrator adalah rangkaian pembangkit gelombang persegi tanpa sumber input. Rangkaian ini gabungan dua rangkaian dalam satu op-amp yaitu rangkaian penguat yang menggunakan sebuah kapasitor sebagai pengganti Ri dan rangkaian komparator.
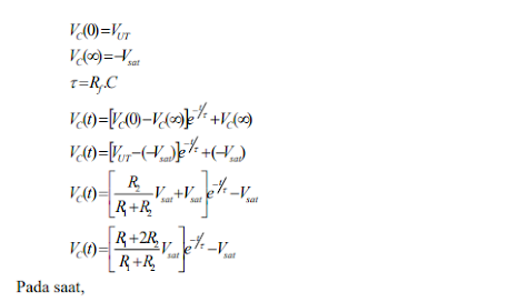
Adapun prinsip pengisian (Charge) dan pengosongan (discharge) kapasitor adalah:
5. Percobaan [kembali]
a. Prosedur
- Buka aplikasi Proteus
- Cari dan siapkan komponen yang dibutuhkan
- Rangkailah komponen menjadi rangkaian yang diinginkan
- Jika sudah, simulasikan rangkaian.
- Amati rangkaian yang telah dibuat
- Jika terjadi error, ganti komponen yang salah atau nilai komponen yang salah tersebut.
b. Rangkaian Simulasi dan Prinsip Kerja
Gambar rangkaian:

Tampilan osiloskop:
Prinsip Kerja:
Prinsip kerjanya hampir sama seperti rangkaian pembangkit gelombang segitiga dengan memakai rangkaian ramp dan komparator. Rangkaian ini gabungan dua rangkaian dalam satu op-amp yaitu rangkaian penguat yang menggunakan sebuah kapasitor sebagai pengganti Ri dan rangkaian komparator.
Cara kerja umum multivibrator adalah penguat transistor dua tingkat yang dihubungkan dengan kondensator dimana output dari tingkat yang terakhir dihubungkan dengan penguat pertama, sehingga kedua transistor itu akan saling umpan balik.
Pulsa tegangan itu terjadi selama 1 periode yang ditentukan oleh komponen-komponen penyusun rangkaian multivibrator tersebut. Rangkaian tersebuthanya mengubah keadaan tingkat tegangan keluarannya diantara 2 keadaan, masing-masing memiliki periode yang tetap.apabila pin6 dan pin 2 dihubungkan (lihat blok diagram) maka akan memicu dirinya sendiri dan bergerak bebas sebagai multivibrator , rangkaian multivibrator tersebut akan bekerja secara bebas dan tidak lagi memerlukan pemicu.
c. Video Simulasi
6. Link Download [kembali]
File Rangkaian klik disini
File datasheet op amp klik disini
File datasheet dioda klik disini
File datasheet resistor klik disini
File datasheet kapasitor klik disini
[menuju awal]
Komentar
Posting Komentar